2008执业药师《药学专业知识二》考试真题及答案
http://zige.eol.cn 来源: 作者:来源:考试吧 2010-08-20 大 中 小
一、单选题(A型题(最佳选择题)共40题,每题1分。每题的备选答案中只有一个最佳答案。)
1、有关粉体的正确表述是
A、粉体的休止角越大,其流动性越好
B、粉体的真体积越大、其真密度越大
C、粉体的接触角越大、其润湿性越差
D、粉体的总空隙越大,其孔隙率越小
E、粉体的临界相对湿度越大,其吸湿性越强
标准答案: c
2、某工艺员试制一种片剂,应该选用的崩解剂是
A、PVP B PEG6000
C、CMS-Na D、CMC-Na
E、PVA
标准答案: c
3、不作为薄膜包衣材料使用的是
A、硬脂酸镁 B、羟丙基纤维素
C、羟丙基甲基纤维素 D、聚乙烯吡略烷酮
E、乙基纤维素
标准答案: a
4、在片剂的脆碎度检查中、被测片剂的减失重量不得超过
A、O、1% B、O、2%
C、0、5% D、1%
E、2%
标准答案: d
5、有关滴丸剂、小丸的错误表述是
A、滴丸剂的水溶性基质有聚乙二醇6000、泊洛沙姆
B、滴丸剂的脂溶性基质有硬脂酸、单硬脂酸甘油酯
C、滴丸剂的冷凝液有液体石蜡、甲基硅油
D、灰黄霉素滴丸采用了固体分散技术、其目的是为了获得缓释效果
E、小丸的粒径应为O、5-3、5mm
标准答案: d
6、关于软膏剂一般质量要求的错误表述是
A、性质稳定,无酸败、变质等现象 B、无溶血性
C、无刺激性 D、无过敏性
E、用于刨面的软膏应无菌
标准答案: b
7、只能肌内注射给药的是
A、低分子溶液型注射剂 B、高分子溶液型注射剂
C、乳剂型注射剂 D、混悬型注射剂
E、注射用冻于粉针剂
标准答案: d
8、关于微孔滤膜特点的错误表述是
A、孔径小而均匀、截留能力强 B、滤过时易产生介质脱落
C、不影响药液的pH值 D、滤膜吸附性小
E、主要缺点为易于堵塞
标准答案: b
9、关于热原性质的错误表述是
A、耐热性 B、滤过性
c、光不稳定性 D、不挥发性
E、水溶性
标准答案: c
10、关于纯化水、注射用水和灭菌注射用水的错误表述是
A、纯化水是原水经蒸馏等方法制得的供药用的水
B、注射用水是纯化水经蒸馏所得的水
C、灭菌注射用水是注射用水经灭菌所得的水
D、纯化水可作配制普通药物制剂的溶剂
E、注射用水是用于注射用灭菌粉末的溶剂
标准答案: e
11、属于非离子型的表面活性剂是
A、十二烷基苯磺酸钠 B、卵磷脂
C、月桂醇硫酸钠 D、聚氧乙烯-聚氧丙烯共聚物
E、硬脂酸钾
标准答案: d
12、表面活性剂具有溶血作用,下列表面活性剂溶血作用从大到小的正确捧列顺序是
A、聚氧乙烯脂肪酸酯>聚氧乙烯芳基醚>吐温80>吐温20
B、聚氧乙烯芳基醚>聚氧乙烯脂肪酸酯>吐温20>吐温80
c、吐温80>吐温20>聚氯乙烯脂肪酸酯>聚氧乙烯芳基醚
D、吐温20>吐温80>聚氧乙烯芳基醚>聚氧乙烯脂肪酸酯
E、聚氧乙烯脂肪酸酯>吐温20>吐温40>聚氧乙烯芳基醚
标准答案: b
13、不是混悬剂稳定剂的是
A、助悬剂 B、润湿剂
C、增溶剂 D、絮凝剂
E、反絮凝剂
标准答案: c
14、较易发生水解反应而降解的药物是
A、肾上腺素 B、盐酸普鲁卡因
c、维生素c D、对氨基水杨酸钠
E、维生素A
标准答案: b
15、药物微囊化的特点不包括
A、可改善制剂外观 B、可提高药物稳定性
C、可掩盖药物不良臭味 D、可达到控制药物释放的目的
E、可减少药物的配伍变化
标准答案: a
16、利用溶出原理达到缓(控)释目的的方法是
A、包衣 B、制成微囊
c、制成不溶性骨架片 D、将药物包藏于亲水性高分子材料中
E、制成药树脂
标准答案: d
l7、有关经皮给药制剂的优点的错误表述是
A、可避免肝脏的首过效应
B、可延长药物作用时间。减少给药次数
C、可维持恒定的血药浓度、避免口服给药引起的峰谷现象
D、适用于给药剂量较大、药理作用较弱的药物
E、使用方便,可随时中断给药
标准答案: d
18、被动靶向制剂经静脉注射后,其在体内的分布首先取决于
A、粒径大小 B、荷电性
C、疏水性 D、表面张力
E、相变温度
标准答案: a
19、关于主动转运的错误表述是
A、主动转运必须借助载体或酶促系统
B、主动转运是药物从膜的低浓度一侧向高浓度一侧转运的过程
c、主动转运需要消耗机体能量
D、主动转运可出现饱和现象和竞争抑制现象
E、主动转运有结构特异性,但没有部位特异性
标准答案: e
20、关于药物代谢的错误表述是
A、药物代谢是药物在体内发生化学结构变化的过程
B、参与药物代谢的酶通常分为微粒体酶系和非微粒体酶系
c、通常代谢产物比原药物的极性小、水溶性差
D、药物代谢主要在肝脏进行,也有一些药物肠道代谢率很高
E、代谢产物比原药物更易于从肾脏排泄
标准答案: c
21、关于单室模型单剂量血管外给药的错误表述是
A、C—t公式为双指数方程
B、达峰时间与给药剂量X0成正比
C、峰浓度与给药剂量X0成正比
D、曲线下面积与给药剂量X0成正比
E、由残数法可求药物的吸收速度常数k0
标准答案: b
22、给某患者静脉注射(推注)某药,已知剂量X0=500mg,V=lO L,k=0、1h,τ=1Oh,该患者给药达稳态后的平均稳态血药浓度是
A、0、05mg/L B、0、5mg/L
C、5mg/L D 50mg/L
E、500mg/L
标准答案: d
23、属于物理配伍变化的是
A、含酚羟基的药物遇铁盐后颜色变深
B、高锰酸钾与甘油混合研磨发生爆炸
C、乌洛托品与酸类药物配伍产生甲醛
D、氯毒素注射液与少量葡萄糖输液混合时产生沉淀
E生物碱盐溶液遇鞣酸产生沉淀
标准答案: d
24、在制备蛋白、多肽类药物的注射用无菌粉末(冷冻干燥制剂)时常常需加入填充剂。最常用的填充剂是
A、乙醇 B、丁醇
C、辛醇 D、甘露醇
E、硬脂醇
标准答案: d
25、将苯丙氨酸引入氮芥结构中得到美法仑的目的是
A、改善药物的溶解性能 B、延长药物的作用时间
c、降低药物的毒副作用 D、改善药物的吸收性能
E、增加药物对特定部位作用的选择性
标准答案: e
26、十五元环的大环内酯类抗生素是
A、罗红霉素 B、克拉霉素
C、琥乙红霉素 D、阿奇霉素
E、红霉素
标准答案: d
27、具有抗铜绿假单胞菌作用的药物是

标准答案: e
28、源于地西泮活性代谢产物的药物是
A、氯硝西泮 B、劳拉西泮
C、艾司唑仑 D、奥沙西泮
E、硝西泮
标准答案: d
29、属于单胺氧化酶抑制剂的抗抑郁药是
A、盐酸阿米替林 B、吗氯贝胺
C、盐酸氟西汀 D、盐酸帕罗西汀
E、舍曲林
标准答案: b
30、结构与β受体拮抗剂相似、具有轻度β-受体拮抗作用的抗心律失常药物是
A、盐酸普鲁卡因胺 B、盐酸利多卡因
C、盐酸普罗帕酮 D、奎尼丁
E、盐酸美西律
标准答案: c
31、结构中含有六元内酯环的血脂调节药物是
A、阿托伐他汀 B、吉非贝齐
C、非诺贝特 D、洛伐他汀
E、氯贝丁酯
标准答案: d
32、体内活性代谢物为坎利酮的利尿药是
A、呋塞米 B,氢氯噻嗪
C、依他尼酸 D、螺内酯
E、阿米洛利
标准答案: d
33、沙美特罗的化学结构是

标准答案: c
36、可导致肝坏死的对乙酰氨基酚的代谢物是
A、对乙酰氨基酚硫酸酯 B、对乙酰氨基酚葡萄糖醛酸酯
C、N-乙酰亚胺醌 D、对氨基酚
E、乙酸
标准答案: c
37、母核属于雌甾烷的蛋白同化激素药物是
A、甲睾酮 B、雌二醇
C、达那唑 D、丙酸睾酮
E、苯丙酸诺龙
标准答案: e
38、因具有较大的钠潴留副作用。只能外用治疗各种皮肤病的药物是

标准答案: d
39、维生素B1在体内的生物活性形式是
A、硫胺焦亚硫酸酯 B、硫胺单磷酸酯
C、硫胺三磷酸酯 D、硫胺焦磷酸酯
E、硫胺硫酸酯
标准答案: d
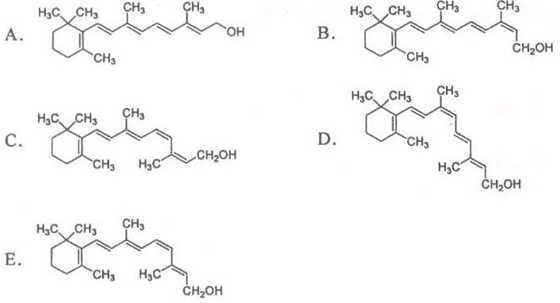
40、维生素A异构体中生物活性最强的是

标准答案: a
免责声明:
① 凡本站注明“稿件来源:中国教育在线”的所有文字、图片和音视频稿件,版权均属本网所有,任何媒体、网站或个人未经本网协议授权不得转载、链接、转贴或以其他方式复制发表。已经本站协议授权的媒体、网站,在下载使用时必须注明“稿件来源:中国教育在线”,违者本站将依法追究责任。
② 本站注明稿件来源为其他媒体的文/图等稿件均为转载稿,本站转载出于非商业性的教育和科研之目的,并不意味着赞同其观点或证实其内容的真实性。如转载稿涉及版权等问题,请作者在两周内速来电或来函联系。