教育在线
教育在线
华东师大学者发现大幅提升量子纠缠容量和量子关联度新方法
2019-10-09 09:03
华东师大学
作者:

  华东师范大学物理与电子科学学院精密光谱科学与技术国家重点实验室荆杰泰教授团队近期在量子通信以及量子精密测量领域连续取得重要进展,相继发现大幅提升量子纠缠容量和量子关联度的新方法,两项相关研究成果均发表于国际物理学期刊《物理评论快报》上。

▲ 荆杰泰教授实验团队合影

  量子通信研究

  在量子通信研究方面,荆杰泰教授团队利用光学轨道角动量这个自由度,在实验上实现了一种光学轨道角动量复用的连续变量量子纠缠体系。该成果以“Orbital-Angular-Momentum Multiplexed Continuous-Variable Entanglement from Four-Wave Mixing in Hot Atomic Vapor”为题,于2019年8月发表在美国物理学会的《物理评论快报》(Physical Review Letters 123, 070506 (2019))上。

  该论文以华东师范大学为第一完成单位,精密光谱科学与技术国家重点实验室的博士研究生潘晓州为论文第一作者,硕士研究生余胜、周延芬、吕树超以及博士研究生张昆、张凯、李思瑾、王伟都对论文有重要贡献,荆杰泰教授为论文的通讯作者。

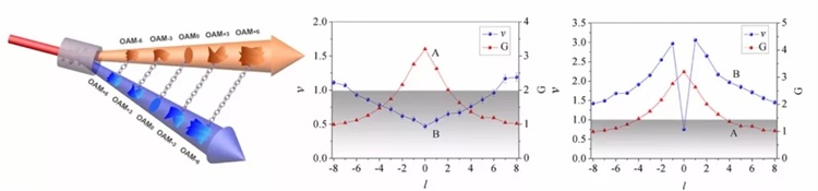
▲ 光学轨道角动量复用的连续变量纠缠系统示意图、13对量子纠缠判定以及光学轨道角动量守恒验证的相关实验结果

  近年来,量子通信领域发展迅速,而量子纠缠是量子通信中非常重要的量子资源。提高量子通信体系中的纠缠容量,从而提高量子通信的信道容量对于实现大尺度量子通信网络至关重要。一方面,复用(Multiplexing)是提高经典通信系统信息承载能力的重要手段。而另一方面,光学轨道角动量(Orbital Angular Momentum)作为一个重要的物理量,引起了广泛的研究兴趣,由于光学轨道角动量具有无限带宽,螺旋波前等性质特点,已经被成功应用于经典光通讯、光学操控微粒以及分离变量量子纠缠等领域。

  荆杰泰教授团队把复用的概念和光学轨道角动量自由度相结合,并应用于连续变量纠缠体系,从而提出了一种通过复用光学轨道角动量的不同模式来大幅度增加连续变量量子通信体系纠缠容量的方案,并且最终在实验上得以实现。

▲ Physical Review Letters 123, 070506 (2019)论文作者合影

  在实验中,该团队利用热铷原子系综中的四波混频过程产生了两个量子关联的孪生光束。在这两个孪生光束通道中,系统同时确定性地产生了13对两两纠缠的拉盖尔高斯(Laguerre-Gaussian)模式,对应的光学轨道角动量拓扑荷数,Pr和Conj代表两个孪生光束通道。

  该团队发展了基于LG模式的量子纠缠探测方案,并利用这一探测方案成功在实验上验证了这些对应模式之间的量子纠缠特性。同时该工作还验证了系统中之间不存在量子纠缠,从而从连续变量体系的角度证明了在四波混频过程中,非线性相互作用遵守光学轨道角动量守恒定律。此外,该工作还研究了四波混频系统中三种不同类型的光轨道角动量相干叠加模式情况下的量子纠缠特性。

  团队系统地研究了泵浦光场的腰斑直径大小对模式复用数目的影响,发现复用数目随着泵浦腰斑的增加而有效增加。此研究首次提出了将光学轨道角动量复用的概念应用于连续变量量子体系,实现了光学轨道角动量复用的连续变量量子纠缠系统,从而大幅度提高了系统的量子纠缠容量。该工作为连续变量量子通信研究提供了一个崭新的研究平台和思路。

  量子精密测量研究

  在量子精密测量研究方面,荆杰泰教授团队在实验上利用干涉(Interference)效应,在连续变量量子体系中实现了两光束间以量子压缩(Quantum Squeezing)表征的量子关联的增强。

  该成果以“Interference-Induced Quantum Squeezing Enhancement in a Two-beam Phase-Sensitive Amplifier”为题于2019年9月发表在《物理评论快报》(Physical Review Letters 123, 113602 (2019))上。该论文同样以华东师范大学为第一完成单位,精密光谱科学与技术国家重点实验室的博士研究生刘胜帅和娄彦博为论文共同第一作者,荆杰泰教授为论文的通讯作者。

▲ 双光束相敏放大器系统示意图、系统输出端的干涉条纹以及干涉诱导的量子压缩增强实验结果

  量子压缩是一种非常重要的非经典效应,它与量子物理中的“不确定性原理”密切相关,因此对于量子物理的基础研究具有重要的科学价值。同时量子压缩又可以大幅降低系统的量子噪声,从而显著提高系统的信噪比和灵敏度,因此它又在量子精密测量当中具有重要的应用价值。例如,量子压缩可以用来提高激光干涉仪引力波天文台、原子磁力仪和光机磁力仪的灵敏度。

  此外,量子压缩还可以用于优化激光束定位、旋转角测量以及时间传递等。可以说量子压缩的压缩程度直接决定了它对物理系统性能的改善程度。因此,增强量子压缩对于量子精密测量至关重要的。

  近几年,基于原子系综四波混频过程的非相敏放大器被证明是产生量子压缩的一种非常有效的方法。由该系统产生的量子压缩光束在量子成像、量子纠缠延迟以及非线性干涉仪等领域得到了重要的应用。与此不同,该团队另辟蹊径,在实验上实现了利用相敏放大器中的干涉效应来增强量子压缩的方案。

▲ Physical Review Letters 123, 113602 (2019)论文作者合影

  在实验中,该团队分别测量了相同实验条件下非相敏放大器和相敏放大器产生的强度差压缩光束的量子关联。实验结果显示相敏放大器产生的关联光束的量子压缩度要显著优于非相敏放大器,并成功突破10dB。

  研究发现这种量子压缩的增强来源于理论预测中的一个干涉项,因此该团队在实验上详细分析了这一干涉项中系统增益、注入光强度比例以及干涉相位点对量子压缩的调控作用,这些研究结果清晰地表明相敏放大器中的量子压缩增强来源于其内在的干涉本质。该工作是一种新的增强量子压缩的有效方法,因此在提高量子测量的精度方面具有潜在的应用价值。

  第一作者都是博士研究生

  量子通信和量子精密测量是当前国际上量子信息技术发展中的两大重要领域,该研究团队在这两个方面连续取得了重要进展,是长期积累的结果。

  荆杰泰教授长期从事量子光学、原子分子光物理方面的实验和理论研究,近年来在基于原子系综量子光源的实验产生及其在量子通信和量子精密测量的应用方面取得了系列研究成果。

  相关成果相继以通讯作者身份发表在本领域国际重要学术期刊上,包括Physical Review Letters以及Physical Review Applied等,相关研究成果受到多个国际国内同行研究组的系列引用。荆杰泰教授曾主持国家自然科学基金委重大研究计划重点支持项目,曾入选教育部“新世纪优秀人才”、上海市“曙光学者”以及上海市“浦江人才”。

▲ 荆杰泰教授和实验团队成员

  本次同刊发表的两篇论文,第一作者均是该团队的博士研究生。荆杰泰教授带领学生进入当前国际上前沿的量子信息研究领域,鼓励他们积极参与国际学术交流活动,充分激发出他们的研究兴趣,使他们长期保持强烈的研究热情。

  “只有这样,学生们在遇到科学或技术难题时才能攻坚克难,一直坚持下去。” 荆杰泰表示。截至目前,荆杰泰教授指导的研究生1人次获得2014年王大珩高校学生光学奖、3人次获得上海市优秀毕业生、8人次获得研究生国家奖学金。

免责声明:

① 凡本站注明“稿件来源:教育在线”的所有文字、图片和音视频稿件,版权均属本网所有,任何媒体、网站或个人未经本网协议授权不得转载、链接、转贴或以其他方式复制发表。已经本站协议授权的媒体、网站,在下载使用时必须注明“稿件来源:教育在线”,违者本站将依法追究责任。

② 本站注明稿件来源为其他媒体的文/图等稿件均为转载稿,本站转载出于非商业性的教育和科研之目的,并不意味着赞同其观点或证实其内容的真实性。如转载稿涉及版权等问题,请作者在两周内速来电或来函联系。

相关新闻