近日,清华大学深圳国际研究生院材料研究院贺艳兵课题组在对聚合物固态电解质的研究中发现,大幅度提高聚合物介电常数(εr)可明显促进锂盐解离,进而实现聚合物固态电解质的高锂离子电导率。
聚合物固态电解质能够有效解决商用电解液易燃易泄露给锂离子电池带来的安全隐患,但其离子电导率极低,通常为10-7至10-5S/cm,严重制约了其实际应用。为了确保固态电池在室温下能够良好运行,还需大幅度提升聚合物固态电解质的离子电导率。商用电解液中的溶剂通常包含两部分:高介电常数的碳酸乙烯(EC)或碳酸丙烯(PC)等以促进锂盐解离,低粘度的碳酸二甲酯(DMC)等以促进锂离子输运。而提高聚合物本身的介电常数,使其达到EC和PC的水平,能否大幅度促进锂盐解离进而显著提升聚合物固态电解质的离子电导率尚不清楚。在众多聚合物固态电解质基体中,具有耐高压性能的聚偏氟乙烯(PVDF)的介电常数较高(8~12),但相比于EC和PC等高介电常数溶剂(εr30~90),PVDF的介电常数仍然较低,因此需要大幅提升PVDF的介电常数来研究其对锂盐的离解能力和离子电导率的影响。
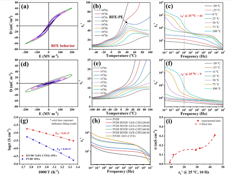
PVDF及其常见的二元共聚物,如聚偏氟乙烯-六氟丙烯P(VDF-HFP)等由于铁电相畴尺寸较大,难以及时顺应外界电场变化,因此通常呈现普通的铁电行为(ferroelectric,FE,behavior),使其聚合物介电常数较低(εr,8~12),介电损耗较大。贺艳兵课题组创新性选用具有弛豫铁电行为(relaxor ferroelectric,RFE,behavior)的聚偏氟乙烯-三氟乙烯-三氟氯乙烯P(VDF-TrFE-CTFE)为基体制备聚合物固态电解质,由于向VDF晶区引入一定数目与尺寸的缺陷,如TrFE和CTFE基团,可将大尺寸的铁电相畴分割为纳米尺寸(图1),纳米铁电相畴易于响应外界电场变化,因而呈现出独特的弛豫铁电行为,使P(VDF-TrFE-CTFE)的介电常数大幅度提升(εr,30~70),介电损耗显著下降。
实验结果发现,具有弛豫铁电行为的P(VDF-TrFE-CTFE)多元共聚物在室温、10 Hz测试频率下呈现出极高的εr(~44),远高于PVDF的介电常数(~9),使得P(VDF-TrFE-CTFE)不仅有效促进了LiTFSI锂盐的解离,形成更高浓度的自由锂离子,同时提高了锂离子迁移数并降低了活化能。P(VDF-TrFE-CTFE)固态电解质的室温离子电导率从PVDF的1.77 × 10-5S/cm提升至3.10 × 10-4S/cm。此外,将PVDF和P(VDF-TrFE-CTFE)或介电填料BaTiO3共混,同样发现具有较高介电常数的共混物固态电解质表现出较高的离子电导率,进一步证实了高介电常数聚合物对提升聚合物固态电解质离子电导率的普适性。密度泛函理论计算(DFT)、锂离子迁移数及拉曼光谱结果进一步证明,高介电常数的P(VDF-TrFE-CTFE)对LiTFSI具有更强的解离能力。基于P(VDF-TrFE-CTFE)固态电解质的锂锂对称电池、LiFePO4/Li和NCM811/Li全电池均表现出良好的电化学性能。

图1.(a)普通铁电行为聚合物(如PVDF)和(b)弛豫铁电行为聚合物[如P(VDF-TrFE-CTFE)]的锂盐解离示意图
该研究工作首次揭示了具有超高介电常数的弛豫铁电聚合物和有机/无机复合材料能够显著促进锂盐的解离,从而明显提高离子导电率,并降低活化能。该研究工作为高离子电导率聚合物固态电解质和有机/无机复合固态电解质的研究开辟了新方向,为制备高性能固态锂金属电池提供了新思路。

图2.PVDF和P(VDF-TrFE-CTFE)的铁电行为、介电行为和离子电导率表征
相关成果以“超高介电常数的弛豫铁电聚合物促进锂盐解离实现高离子电导率”(Relaxor Ferroelectric Polymer with Ultrahigh Dielectric Constant Largely Promotes the Dissociation of Lithium Salts to Achieve High Ionic Conductivity)为题发表在《能源与环境科学》(Energy & Environmental Science)上。论文通讯作者为清华大学深圳国际研究生院材料研究院贺艳兵副教授,第一作者为深圳大学材料学院黄妍斐助理教授(清华大学深圳国际研究生院原博士后),论文合作者包括清华大学深圳国际研究生院材料研究院康飞宇教授、美国凯斯西储大学祝磊教授、深圳大学材料学院弗洛里安·施塔德勒(Florian J.Stadler)教授和阎志超助理教授、北京工业大学赖陈博士等,他们在聚合物铁电和介电性能测试、理论计算和结果讨论等方面给予了帮助。
① 凡本站注明“稿件来源:教育在线”的所有文字、图片和音视频稿件,版权均属本网所有,任何媒体、网站或个人未经本网协议授权不得转载、链接、转贴或以其他方式复制发表。已经本站协议授权的媒体、网站,在下载使用时必须注明“稿件来源:教育在线”,违者本站将依法追究责任。
② 本站注明稿件来源为其他媒体的文/图等稿件均为转载稿,本站转载出于非商业性的教育和科研之目的,并不意味着赞同其观点或证实其内容的真实性。如转载稿涉及版权等问题,请作者在两周内速来电或来函联系。




教育在线

