安徽大学何刚教授团队在集成电路场效应显示器件研究领域再获进展
(材料科学与工程学院 何刚 周乾坤)近期,安徽大学材料科学与工程学院何刚教授团队在集成电路场效应显示器件研究领域再获进展,相关研究成果分别以"High-performance thin film transistors and inverters based on ALD-derived Al2O3-passivated CeO2 bilayer gate dielectric"和“Enhanced Electrical Performance and Low Frequency Noise of In2O3 Thin-Film Transistors Using Al2O3/CeGdOx Bilayer Gate Dielectrics”为题发表在国际微电子器件领域顶尖期刊《IEEE Transactions on Electron Devices》上。安徽大学材料科学与工程学院2020级博士研究生王雷妮为第一作者,何刚教授为论文的通讯作者,安徽大学为第一通讯单位。
大面积集成及低压驱动是未来低功耗高清显示领域产业的目标,国家在此领域有重大需求。氧化物薄膜晶体管因高迁移率、透明及大面积集成等优势已成为当前平板显示器件的核心驱动元件,但纳米尺度薄膜晶体管的架构失稳和输运退化已成为未来大尺寸高清显示器件发展的技术障碍。
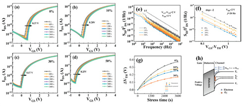
针对这些问题,何刚教授团队围绕纳米尺度非晶氧化物薄膜晶体管的架构设计、输运调控及可靠性快速评估开展了研究。借助低温溶液法获取了对电离杂质具有绝佳介电屏蔽效应的稀土基高电容密度栅介质;采用ALD钝化及界面缺陷态修复等手段,功构筑高迁移率(~27.28 cm2 V-1S−1)且超低界面态(Dit~1.64×1011 cm-2)的 In2O3基薄膜晶体管器件和高增益全摆幅反相器逻辑电路(~16)。该系列研究工作有望解决非晶氧化物薄膜晶体管性能退化的关键技术瓶颈,促进氧化物TFT基础研究成果走向大规模应用。

In2O3/Al2O3/CeGdOx-TFTs的稳定性及低频噪声特性测试图
该研究工作得到国家自然科学基金面上项目(11774001、51572002)、物科院开放课题(S01003101)及安徽省领军人才团队项目(Z010118169)联合资助。
文章链接:DOI: 10.1109/TED.2022.3140405;
DOI: 10.1109/TED.2022.3164632。
(来源:安徽大学)
免责声明:
① 凡本站注明“稿件来源:中国教育在线”的所有文字、图片和音视频稿件,版权均属本网所有,任何媒体、网站或个人未经本网协议授权不得转载、链接、转贴或以其他方式复制发表。已经本站协议授权的媒体、网站,在下载使用时必须注明“稿件来源:中国教育在线”,违者本站将依法追究责任。
② 本站注明稿件来源为其他媒体的文/图等稿件均为转载稿,本站转载出于非商业性的教育和科研之目的,并不意味着赞同其观点或证实其内容的真实性。如转载稿涉及版权等问题,请作者在两周内速来电或来函联系。




中国教育在线
