中国科学技术大学中国科学院量子信息与量子科技创新研究院潘建伟、陆朝阳、刘乃乐等组成的研究团队与中国科学院上海微系统所、国家并行计算机工程技术研究中心合作,成功构建了255个光子的量子计算原型机“九章三号”,再度刷新了光量子信息的技术水平和量子计算优越性的世界纪录。科研人员设计了时空解复用的光子探测新方法,构建了高保真度的准光子数可分辨探测器,提升了光子操纵水平和量子计算复杂度。根据公开正式发表的最优经典精确采样算法,“九章三号”处理高斯玻色取样的速度比上一代“九章二号”提升一百万倍。“九章三号”在百万分之一秒时间内所处理的最高复杂度的样本,需要当前最强的超级计算机“前沿”(Frontier)花费超过二百亿年的时间。这一成果进一步巩固了我国在光量子计算领域的国际领先地位。

图1:实验装置示意图
量子计算是后摩尔时代的一种新的计算范式,它在原理上具有超快的并行计算能力,可望通过特定量子算法在一些具有重大社会和经济价值的问题方面相比经典计算机实现指数级别的加速。因而,研制量子计算机是当前世界科技前沿的最大挑战之一。
为此,国际学术界制定了三步走的发展路线。其中,第一步是实现“量子计算优越性”,即通过对近百个量子比特的高精度量子调控,对特定问题的求解展现超级计算机无法比拟的算力,这标志着40年前 Feynman等人的梦想成为现实。“量子计算优越性”实验还可用于检验计算科学的“扩展的丘奇—图灵论题”。同时,在此过程中,发展出可扩展的量子调控技术,为具备容错能力的通用量子计算机的研制提供技术基础。
2019年,美国谷歌和加州大学发布了53比特“悬铃木”超导量子计算处理器,宣称用200秒求解的随机线路采样问题需要超级计算机一万年时间求解。然而,这一宣称随后受到了中国科学家的挑战,改进后的经典算法使得超算上的计算时间从一万年缩短到数十秒,快于“悬铃木”量子处理器。
2020年,中国科大团队成功构建76光子的“九章”光量子计算原型机[Science 370, 1460 (2020)],首次在国际上实现光学体系的“量子计算优越性”,并克服了谷歌实验中量子优越性依赖于样本数量的漏洞。2021年,中国科大团队进一步成功研制了113光子的可相位编程的“九章二号”[PRL 127, 180502 (2021)]和56比特的“祖冲之二号”量子计算原型机[PRL 127, 180501 (2021)],使我国成为唯一在光学和超导两种技术路线都达到了“量子计算优越性”的国家。
在这个“量子计算优越性”战略高地,国际竞争呈现出白热化。位于加拿大多伦多的Xanadu公司与美国国家标准与技术研究院合作,采用与“九章”光量子计算原型机相同的高斯玻色取样路线,在2022年发布了216光子的“北极光”量子处理器,在国际上第二个实现了光学体系“量子计算优越性”。

图2:光量子计算的国际竞争态势
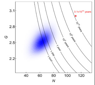
中国科大团队在理论上首次发展了包含光子全同性的新理论模型,实现了更精确的理论与实验的吻合;同时,发展了完备的贝叶斯验证和关联函数验证,全面排除了所有已知的经典仿冒算法,为量子计算优越性提供了进一步数据支撑。在技术上,研制了基于光纤时间延迟环的超导纳米线探测器,把多光子态分束到不同空间模式并通过延时把空间转化为时间,实现了准光子数可分辨的探测系统。这一系列创新使得研究团队首次实现了对255个光子的操纵能力,极大地提升了光量子计算的复杂度,处理高斯玻色取样的速度比“九章二号”提升了一百万倍。在激烈的国际竞争角逐中,“九章三号”的实现进一步巩固了我国在光量子计算领域的国际领先地位。
进一步,在构建“九章”系列光量子计算原型机的基础上,中国科大研究团队揭示了高斯玻色取样和图论之间的数学联系,完成对稠密子图和Max-Haf两类具有实用价值的图论问题的求解,相比经典计算机精确模拟的速度快1.8亿倍[PRL 130, 190601 (2023)]。此外,又在国际上首次演示了无条件的多光子量子精密测量优势[PRL 130, 070801(2023)]。

图3:九章三号的计算复杂度需要花费超级计算机的时间。
量子计算优越性的研究是一个复杂而富有挑战性的工作,量子计算硬件与经典算法之间存在着长期竞争。研究人员期待这项工作一方面能够激发更多关于经典算法模拟的研究工作,另一方面有助于逐步解决量子计算研究中的各种科学和工程挑战。
上述项目受到了安徽省、上海市、科技部、中国科学院和基金委的支持。
论文链接:https://journals.aps.org/prl/issues/131/15
(合肥微尺度物质科学国家研究中心、物理学院、中国科学院量子信息与量子科技创新研究院、科研部)
① 凡本站注明“稿件来源:中国教育在线”的所有文字、图片和音视频稿件,版权均属本网所有,任何媒体、网站或个人未经本网协议授权不得转载、链接、转贴或以其他方式复制发表。已经本站协议授权的媒体、网站,在下载使用时必须注明“稿件来源:中国教育在线”,违者本站将依法追究责任。
② 本站注明稿件来源为其他媒体的文/图等稿件均为转载稿,本站转载出于非商业性的教育和科研之目的,并不意味着赞同其观点或证实其内容的真实性。如转载稿涉及版权等问题,请作者在两周内速来电或来函联系。




中国教育在线

